Miniature du produit Manuel de l'utilisateur

Manuel de l'utilisateur : Positivo 22BN550Y moniteur

Positivo Ordinateurs et accessoires Moniteur

De quoi avez-vous besoin ?

En validant, je déclare accepter sans réserve les Conditions Générales et la Politique de confidentialité de wenony.lu. En validant les informations, je confirme commander un contrat WeNony Premium au tarif de 0,90 € le premier mois, puis au tarif de 49,00 € par mois avec un engagement de 12 mois. Je confirme être habilité à engager l’entreprise dans ces conditions.

Présentation de la notice : Manuel utilisateur Moniteur Positivo 22BN550Y

Recherchez parmi les 15 pages de la notice : Manuel utilisateur Moniteur Positivo 22BN550Y pour trouver les informations qu'il vous manque. Vous ne trouvez pas les réponses à vos questions ? Réservez une vidéo assistance en moins de 2 minutes.

Caractéristiques

Marque Positivo
Modèle 22BN550Y
Catégorie Ordinateurs et accessoires
Type de produit Moniteur
Nombre de pages 15 Pages
Type de fichier
Page / 15
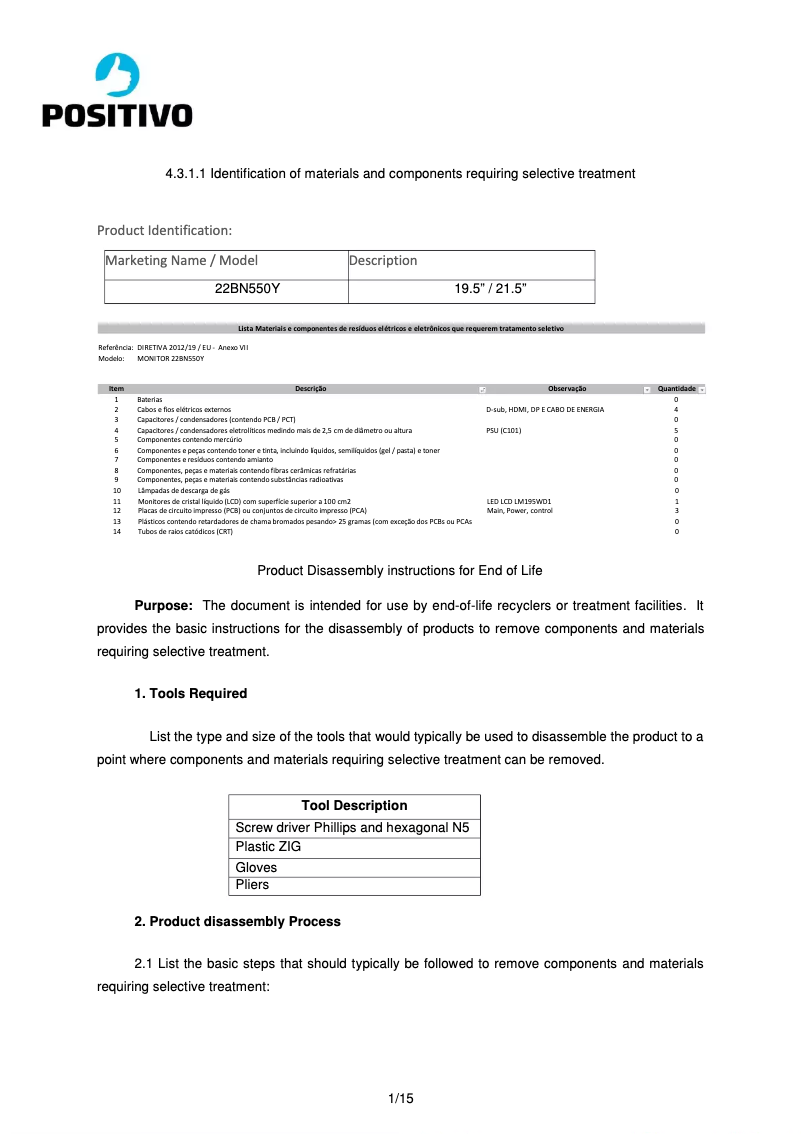
Page n°1 - Manuel utilisateur Positivo 22BN550Y